Journal of South China University of Technology(Natural Science Edition) ›› 2025, Vol. 53 ›› Issue (8): 123-136.doi: 10.12141/j.issn.1000-565X.250042
• Materials Science & Technology • Previous Articles Next Articles
ZHANG Tongsheng1,2, LI Kai2, TAN Kanghao2, CHANG Zezhou3, TAN Yanchen3, TANG Liang3, YANG Donglai3, ZENG Siqing2,4
Received:2025-02-24
Online:2025-08-25
Published:2025-03-21
About author:张同生(1983—),男,博士,研究员,主要从事绿色建筑材料研究。E-mail: mstszhang@scut.edu.cn
Supported by:CLC Number:
ZHANG Tongsheng, LI Kai, TAN Kanghao, CHANG Zezhou, TAN Yanchen, TANG Liang, YANG Donglai, ZENG Siqing. Mix Design and Performance Optimization of Stone Powder-Rich Manufactured Sand Concrete[J]. Journal of South China University of Technology(Natural Science Edition), 2025, 53(8): 123-136.
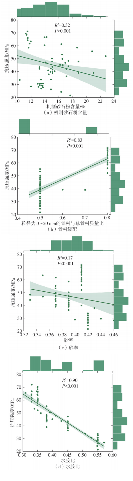
Table 3
Mix proportions of manufactured sand concretes with different strength grades"
| 组别 | 胶凝材料/(kg·m-3) | 细骨料/(kg·m-3) | 粗骨料/(kg·m-3) | 砂率 | 水胶比 | ||||
|---|---|---|---|---|---|---|---|---|---|
| 水泥 | 石粉 | 16~31.51) | 10~201) | 5~101) | |||||
| C30 | C100SP0 | 366 | 0 | 729 | 342 | 570 | 228 | 0.39 | 0.45 |
| C95SP5 | 348 | 18 | |||||||
| C90SP10 | 330 | 37 | |||||||
| C85SP15 | 312 | 54 | |||||||
| C80SP20 | 293 | 74 | |||||||
| SR0.43 | 312 | 54 | 804 | 0.43 | |||||
| SR0.41 | 766 | 0.41 | |||||||
| SR0.39 | 729 | 0.39 | |||||||
| SR0.37 | 692 | 0.37 | |||||||
| FMC-10∶80∶10 | 312 | 54 | 729 | 107 | 856 | 107 | 0.41 | 0.45 | |
| FMC-20∶60∶20 | 231 | 642 | 231 | 0.40 | |||||
| FMC-20∶50∶30 | 233 | 583 | 350 | 0.38 | |||||
| FMC-40∶40∶20 | 428 | 428 | 233 | 0.40 | |||||
| W0.45 | 312 | 54 | 729 | 342 | 570 | 228 | 0.39 | 0.45 | |
| W0.43 | 0.43 | ||||||||
| W0.41 | 0.41 | ||||||||
| W0.39 | 0.39 | ||||||||
| C40 | C100SP0 | 421 | 0 | 680 | 348 | 579 | 232 | 0.37 | 0.38 |
| C95SP5 | 400 | 21 | |||||||
| C90SP10 | 379 | 42 | |||||||
| C85SP15 | 358 | 63 | |||||||
| C80SP20 | 337 | 84 | |||||||
| C75SP25 | 316 | 105 | |||||||
| SR0.39 | 358 | 63 | 717 | 348 | 579 | 232 | 0.39 | 0.38 | |
| SR0.37 | 680 | 0.37 | |||||||
| SR0.35 | 644 | 0.35 | |||||||
| SR0.33 | 607 | 0.33 | |||||||
| FMC-10∶80∶10 | 358 | 63 | 680 | 107 | 856 | 107 | 0.39 | 0.38 | |
| FMC-20∶60∶20 | 231 | 642 | 231 | 0.38 | |||||
| FMC-20∶50∶30 | 233 | 583 | 350 | 0.37 | |||||
| FMC-40∶40∶20 | 428 | 428 | 233 | 0.38 | |||||
| W0.40 | 358 | 63 | 680 | 346 | 577 | 231 | 0.37 | 0.40 | |
| W0.38 | 0.38 | ||||||||
| W0.36 | 0.36 | ||||||||
| W0.34 | 0.34 | ||||||||
| C50 | C100SP0 | 454 | 0 | 753 | 0 | 867 | 217 | 0.41 | 0.35 |
| C95SP5 | 431 | 23 | 753 | ||||||
| C90SP10 | 408 | 46 | 753 | ||||||
| C85SP15 | 385 | 69 | 753 | ||||||
| C80SP20 | 362 | 92 | 753 | ||||||
| C75SP25 | 339 | 115 | 753 | ||||||
| C70SP30 | 316 | 138 | 753 | ||||||
| SR0.41 | 432 | 23 | 753 | 0 | 866 | 217 | 0.41 | 0.35 | |
| SR0.39 | 716 | 0.39 | |||||||
| SR0.37 | 679 | 0.37 | |||||||
| SR0.35 | 642 | 0.35 | |||||||
| FMC-20∶80∶0 | 432 | 23 | 753 | 0 | 217 | 866 | 0.41 | 0.35 | |
| FMC-40∶60∶0 | 464 | 696 | |||||||
| FMC-50∶50∶0 | 583 | 583 | |||||||
| FMC-60∶40∶0 | 696 | 464 | |||||||
| W0.35 | 432 | 23 | 753 | 0 | 866 | 217 | 0.41 | 0.35 | |
| W0.33 | 0.33 | ||||||||
| W0.31 | 0.31 | ||||||||
| W0.29 | 0.29 | ||||||||
| [1] | DOBISZEWSKA M, BAGCAL O, BEYCIOĞLU A,et al .Utilization of rock dust as cement replacement in cement composites:an alternative approach to sustainable mortar and concrete productions[J].Journal of Building Engineering,2023,69:106180/1-12. |
| [2] | ALI M B, SAIDUR R, HOSSAIN M S .A review on emission analysis in cement industries[J].Renewable and Sustainable Energy Reviews,2011,15(5):2252-2261. |
| [3] | DAMTOFT J S, LUKASIK J, HERFORT D,et al .Sustainable development and climate change initiatives[J].Cement and Concrete Research,2008,38(2):115-127. |
| [4] | 刘战鳌,周明凯,姚楚康 .机制砂中细粉的危害性及评价研究[J].建筑材料学报,2015,18(1):150-155. |
| LIU Zhan-ao, ZHOU Ming-kai, YAO Chu-kang .Research on harmfulness and evaluation of various microfines in manufactured sand[J].Journal of Building Materials,2015,18(1):150-155. | |
| [5] | ALIABDO A A, ELMOATY M ABD, AUDA E M .Re-use of waste marble dust in the production of cement and concrete[J].Construction and Building Materials,2014,50(4):28-41. |
| [6] | 建设用砂: [S]. |
| [7] | JEKNAVORIAN A A, KOEHLER E .Use of chemical admixtures to modify the rheological behavior of cementitious systems containing manufactured aggregates[J].Journal of Civil Engineering and Architecture,2012,6(10):1263-1272. |
| [8] | LI J .Study on different factors for working performance and strength of concrete with machined-sand[J].New Building Materials,2020,47(5):13-21. |
| [9] | 王将华,薛翠真,张宇,等 .花岗岩石粉对砂浆干燥收缩性能的影响[J].材料导报,2023,37(22):111-116. |
| WANG Jianghua, XUE Cuizhen, ZHANG Yu,et al .Effect of granite powder on drying shrinkage[J].Materials Reports,2023,37(22):111-116. | |
| [10] | JADHAV P A, KULKARNI D K .An experimental investigation on the properties of concrete containing manufactured sand[J].International Journal of Advanced Engineering Technology,2012,3(2):101-104. |
| [11] | 李化建,赵国堂,谢永江,等 .石灰石粉作为混凝土矿物掺合料的研究[J].铁道建筑,2012,458(4):135-138. |
| LI Hua-jian, ZHAO Guo-tang, XIE Yong-jiang,et al .Study on limestone powder as mineral admixture in concrete[J].Railway Engineering,2012,458(4):135-138. | |
| [12] | 刘战鳌,周明凯,李北星 .石粉对机制砂混凝土性能影响的研究进展[J].材料导报,2014,28(19):100-103. |
| LIU Zhan-ao, ZHOU Ming-kai, LI Bei-xing .Research progress on influence of microfines on manufactured sand concrete’s performance[J].Materials Reports,2014,28(19):100-103. | |
| [13] | TAO F, LIANG J L, LAN Y F,et al .Effect of stone powder content on mechanical properties of manufactured sand concrete[J].Iranian Journal of Science and Technology,Transactions of Civil Engineering,2022,46(6):4255-4264. |
| [14] | CHE D L, WANG J J, DING Z W,et al .Research on the performance of manufactured sand concrete with different stone powder content[C]∥ Proceedings of the 3rd International Conference on Civil,Architecture and Urban Engineering.Guangzhou:Academic Exchange Information Centre,2021,283:01044/1-13. |
| [15] | 王振,李化建,黄法礼,等 .石灰岩机制砂混凝土抗冻性能研究[J].建筑材料学报,2023,26(5):516-523,537. |
| WANG Zhen, LI Huajian, HUANG Fali,et al .Frost resistance of limestone manufactured sand concrete[J].Journal of Building Materials,2023,26(5):516-523,537. | |
| [16] | 周翱翔,张云升,钱如胜,等 .花岗岩石粉对机制砂混凝土基本性能及气体渗透特性的影响[J].复合材料学报,2024,41(7):3704-3715. |
| ZHOU Aoxiang, ZHANG Yunsheng, QIAN Rusheng,et al .Influence of granite stone powder on the basic properties and gas permeability characteristics of mechanism sand concrete[J].Acta Materiae Compositae Sinica,2024,41(7):3704-3715. | |
| [17] | KUMAR K P, RAMESH P S, ARAVINDA P T .Effect of fines on strength and durability of concrete with manufactured sand[J].Materials Today:Proceedings,2022,66(13):2381-2386. |
| [18] | ABD E M .Mechanical properties and corrosion resistance of concrete modified with granite dust[J].Construction and Building Materials,2013,47(24):743-752. |
| [19] | BINICI H, YARDIM Y, AKSOGAN O,et al .Durability properties of concretes made with sand and cement size basalt[J].Sustainable Materials and Technologies,2020,23:e00145/1-9. |
| [20] | DOBISZEWSKA M, SCHINDLER A K, PICHÓR W .Mechanical properties and interfacial transition zone microstructure of concrete with waste basalt powder addition[J].Construction and Building Materials,2018,177:222-229. |
| [21] | SINGH M, SRIVASTAVA A, BHUNIA D .Long term strength and durability parameters of hardened concrete on partially replacing cement by dried waste marble powder slurry[J].Construction and Building Materials,2019,198:553-569. |
| [22] | ÖZKILIÇ Y O, ZEYBEK Ö, BAHRAMI A,et al .Optimum usage of waste marble powder to reduce use of cement toward eco-friendly concrete[J].Journal of Materials Research And Technology,2023,25:4799-4819. |
| [23] | CHEN P X, WANG X H, ZHANG T S,et al .Effect of ultrafine recycled brick powder on the properties of blended cement:hydration kinetics,microstructure evolution and properties development[J].Construction and Building Materials,2023,394:132239. |
| [24] | 普通混凝土拌合物性能试验方法标准: [S]. |
| [25] | 普通混凝土力学性能试验方法标准: [S]. |
| [26] | DOBISZEWSKA M, BAGCAL O, BEYCIOĞLU A,et al .Utilization of rock dust as cement replacement in cement composites:an alternative approach to sustainable mortar and concrete productions[J].Journal of Building Engineering,2023,69:106180. |
| [27] | JAGADESH P, OYEBISI S, MUTHU A H,et al .Microscopic analyses and performance characteristics of granite powder blended cement[J].Construction and Building Materials,2024,426:136006/1-18. |
| [28] | BARRA B, MOMM L, GUERRERO Y,et al .Characterization of granite and limestone powders for use as fillers in bituminous mastics dosage[J].Anais da Academia Brasileira de Ciências,2014,86(2):995-1002. |
| [29] | SAPIAI N, JUMAHAT A, JAWAID M,et al .Mechanical performance of granite fine fly dust-filled basalt/glass polyurethane polymer hybrid composites[J].Polymers,2021,13(18):3032/1-8. |
| [30] | WANG J, XUE C, ZHANG Y,et al .Study of early-age hydration,mechanical properties development,and microstructure evolution of manufactured sand concrete mixed with granite stone powder[J].Materials,2023,16(13):48-57. |
| [31] | WANG D, SHI C, FARZADNIA N,et al .A review on use of limestone powder in cement-based materials:mechanism,hydration and microstructures[J].Construction and Building Materials.2018,181:659-672. |
| [32] | JAIN K L, SANCHETI G, GUPTA L K .Durability performance of waste granite and glass powder added concrete[J].Construction and Building Materials,2020,252:119075/1-11. |
| [33] | NANTHAGOPALAN P, SANTHANAM M .Fresh and hardened properties of self-compacting concrete produced with manufactured sand[J].Cement and Concrete Composites,2011,33(3):353-358. |
| [34] | SHEN W, LIU Y, WANG Z,et al .Influence of manufactured sand’s characteristics on its concrete performance[J].Construction and Building Materials,2018,172:574-583. |
| [35] | VARGAS P, RESTREPO-BAENA O, TOBÓN J I .Microstructural analysis of interfacial transition zone (ITZ) and its impact on the compressive strength of lightweight concretes[J].Construction and Building Materials,2017,137:381-389. |
| [36] | 徐小宁 .中国水泥工业的生命周期评价[D].大连:大连理工大学,2013. |
| [37] | 汪伟 .低品质再生砂粉与盾构泥浆制备可控低强充填材料及性能研究[D].广州:华南理工大学,2022. |
| [38] | BASSANI M, KHOSRAVIFAR S, GOULIAS D,et al .Long-term resilient and permanent deformation behavior of controlled low-strength materials for pavement applications[J].Journal of Transportation Geotechnics,2015,2:108-118. |
| [1] | LI Bing, HE Min, HE Ni, PAN Zhiqin, ZHANG Xia, CHEN Xinran, LI Junyi, LI Lin. Effect of Laccase Synergy with Ferulic Acid on the Rheological Properties of Wheat Dough and the Quality of Bread [J]. Journal of South China University of Technology(Natural Science Edition), 2025, 53(4): 113-124. |
| [2] | FU Yuming, LI Changcheng, YAN Maorong, et al. Microstructure and High Temperature Deformation Resistance of Nickel-Based Coating on TC4 Surface [J]. Journal of South China University of Technology(Natural Science Edition), 2025, 53(1): 108-117. |
| [3] | LUO Zhen, SU Jie, WANG Xiaohua, et al. Research Progress Analysis of Laser-Arc Hybrid Welding of Aluminum Alloys [J]. Journal of South China University of Technology(Natural Science Edition), 2024, 52(3): 57-74. |
| [4] | ZHANG Heng, HUANG Junguang, LI Weike, et al. Influence of Electroosmosis-Calcium Chloride Treatment on the Deformation of Sodium Sulfate Saline Soil [J]. Journal of South China University of Technology(Natural Science Edition), 2023, 51(4): 53-60. |
| [5] | YU Qijun, MA Ting, ZHANG Tongsheng, et al.. Effect of Particle Size on Hydration Kinetics and Microstructure Development of Recycled Brick Powder-Cement Pastes [J]. Journal of South China University of Technology(Natural Science Edition), 2023, 51(11): 63-73. |
| [6] | YIN Suhong, LI Yanmei, DING Weimin, et al.. Effect of Pyrite Tailings Mineralizer on Calcination and Properties of Cement Clinker [J]. Journal of South China University of Technology(Natural Science Edition), 2023, 51(11): 74-81. |
| [7] | TAN Haibing, LI Shu, WANG Jing, et al. Influence of Solution Temperature on Microstructure and Mechanical Property of GH4099 Alloy [J]. Journal of South China University of Technology(Natural Science Edition), 2022, 50(8): 136-143. |
| [8] | LIAO Yanfen, QIU Mengze, CHEN Shunkai, et al . Experimental Study on Thermal Drying Characteristics and Pollutant Discharge Law of Municipal Sludge [J]. Journal of South China University of Technology(Natural Science Edition), 2022, 50(8): 92-101. |
| [9] | CHEN Weiping, LI Bing, LING Zicheng, et al. Influence of Ce Addition on Microstructure and Corrosion Resistance to Molten Aluminum of Fe-Cr-B Alloys [J]. Journal of South China University of Technology (Natural Science Edition), 2021, 49(9): 73-79. |
| [10] | WEI Xiaolan, LIN Guoqing, DING Jing, et al. Simulation and Experiment Investigation into Specific Heat Capacity Enhancement of Nitrate Molten Salt Nanofluid [J]. Journal of South China University of Technology (Natural Science Edition), 2021, 49(9): 46-55. |
| [11] | ZHOU Tao, HE Lin, TIAN Pengfei, et al. Prediction Model of Microstructure Evolution in Shear Zone During Cutting Process [J]. Journal of South China University of Technology (Natural Science Edition), 2021, 49(1): 82-92. |
| [12] | XU Daofen, CHEN Kanghua, XING Jun, et al. Microstructure and Corrosion Behavior of 2219 Aluminum Alloy Forging's Joint by TIG Welding [J]. Journal of South China University of Technology(Natural Science Edition), 2020, 48(3): 116-125. |
| [13] |
YIN Xiaolong DENG Wenjun ZHANG Jiayang PI Yunyun .
Microstructure and Mechanical Properties of Al 7075 Alloy Prepared by Cryogenic-Temperature Extrusion Machining
|
| [14] | ZHANG Heng MA Qinguo HU He NIU Fujun. Experimental Research on the Effect of Using Calcium Chloride and Electroosmosis to Reinforce Silt Clay [J]. Journal of South China University of Technology (Natural Science Edition), 2019, 47(3): 119-125. |
| [15] | ZHOU Zhaoyao LUO Jiehan ZOU Chunhua ZOU Chunya. Microstructure and Property of Capacitor-Discharging Projection Welding Joints of T-Type Galvanized Nuts to Hot-Stamping Steels [J]. Journal of South China University of Technology(Natural Science Edition), 2018, 46(10): 81-87. |
| Viewed | ||||||
|
Full text |
|
|||||
|
Abstract |
|
|||||