Journal of South China University of Technology(Natural Science Edition) ›› 2025, Vol. 53 ›› Issue (12): 172-182.doi: 10.12141/j.issn.1000-565X.250122

Special Issue: 2025年材料科学与技术

• Materials Science & Technology • Previous Articles    

Rapid Prediction of Thermal Properties of Automotive Basalt Fiber Composites Based on Fitting Regression Function

WANG Tong1, MA Yupeng1, ZHAO Yang2   

  1. 1.School of Automobile,Chang’an University,Xi’an 710021,Shaanxi,China
    2.School of Transportation Engineering,Chang’an University,Xi’an 710021,Shaanxi,China
  • Received:2025-04-23 Online:2025-12-25 Published:2025-06-18
  • About author:王童(1988—),男,博士,副教授,主要从事车辆新材料与轻量化智慧设计研究。E-mail: wangtong@chd.edu.cn
  • Supported by:
    the National Natural Science Foundation of China(52203350);Shaanxi Key R & D Program Project(2024GX-YBXM-176)

Abstract:

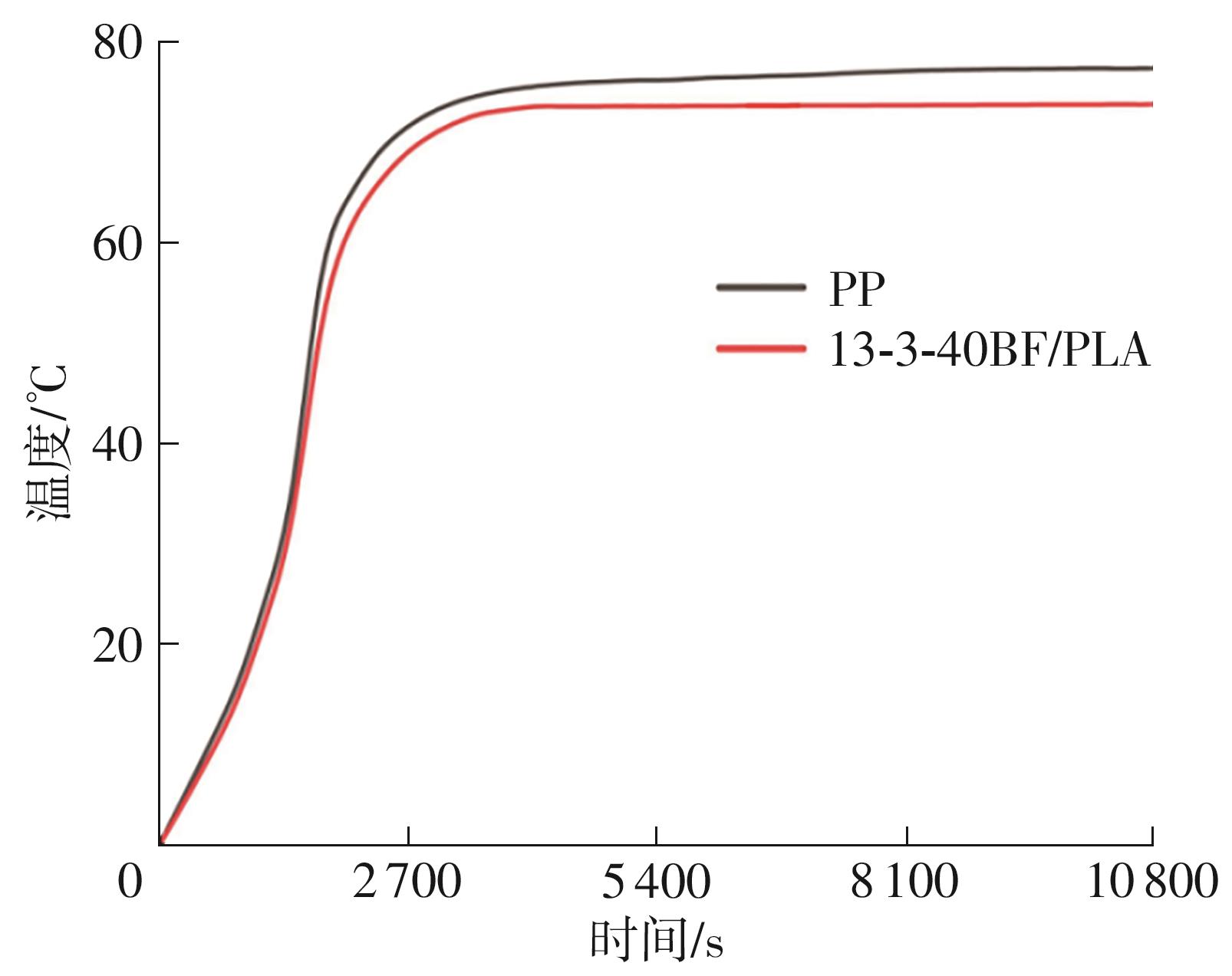
The traditional process of new material development, heavily reliant on extensive experimentation and empirical knowledge, suffers from low efficiency, prolonged cycles, and high costs. Integrating efficient experimental techniques with rapid computational simulation and prediction through intelligent methods can significantly shorten the R&D and engineering application cycle while reducing costs. Chopped basalt fiber-reinforced polylactic acid (BF/PLA) composites, being naturally green, environmentally friendly, and biodegradable, represent an ideal alternative material for automotive interior and exterior components with considerable development potential. In order to study the influence of different fiber parameter ratios on the thermal properties of BF/PLA composites and facilitate rapid development of suitable automotive component materials, this study first conducted experiments on the thermal properties of BF/PLA composites under various fiber parameter ratios. Through data correlation analysis, the effects of different fiber parameter ratios on composite thermal properties were examined. Using F-values from three-factor ANOVA, a fiber parameter quasi-centralization method was proposed, establishing fitted regression functions between glass transition temperature/crystallinity and centralized variables. Based on these regression functions and polynomial guiding functions, new ratios of fiber mass fraction, diameter, and length parameters were incorporated to obtain centralized variables for glass transition temperature and crystallinity under the new parameter ratios. The glass transition temperature and crystallinity of BF/PLA composites with new parameter ratios can be obtained by fitting regression function, and the thermal properties of composites with more fiber para-meter ratios can be predicted by fitting regression function, and the determination coefficients are 0.887 0 and 0.855 1 respectively, with prediction accuracy within practically acceptable engineering ranges. Finite element analysis of thermal performance for a vehicle door inner panel demonstrated slightly superior thermal properties using the optimized composite material selected through the proposed method, along with significantly improved R&D efficiency, validating the effectiveness of the approach. This provides important theoretical guidance and methodological reference for rapid development, cost reduction, material substitution, and green design of future automotive composites.

Key words: basalt fiber, polylactic acid, fitting regression function, thermal property, inner panel of automobile door

CLC Number: