Please wait a minute...

过刊浏览

    2026年 第54卷 第3期    刊出日期:2026-03-25
    2026, 54(3):  0. 
    摘要 ( 26 )  
    相关文章 | 多维度评价
    能源、动力与电气工程
    刘定平, 吴超超, 潘澍桓
    2026, 54(3):  1-9.  doi:10.12141/j.issn.1000-565X.250214
    摘要 ( 218 )   HTML ( 2)   PDF (2005KB) ( 38 )  
    数据和表 | 参考文献 | 相关文章 | 多维度评价

    提高等离子点火装置的煤种适应性对于助力电厂节能减排,实现双碳目标具有重要意义。针对目前分级式等离子燃烧器在电厂运行过程中燃烧低挥发分贫煤所出现的燃烧不稳定、熄火等问题,采用数值模拟的研究方法,首先建立了分级式等离子燃烧器的三维网格模型,采用了Realizable k-ε湍流模型、P1辐射模型、以及包含Two-competing-rates的挥发分析出模型和kinetics/diffusion-limited控制焦炭燃烧的煤粉燃烧模型;接着通过网格无关性验证,对比了低、中、高网格数量的网格模型的温度参数差异,确保所采用网格模型的可靠性;然后采用控制变量法依次研究了等离子功率、一次风速及煤粉浓度这3个重要运行参数对分级式等离子燃烧器中贫煤燃烧过程的影响;最后对等离子燃烧器的运行参数进行优化以解决贫煤的点火燃烧问题。结果表明:等离子功率大小是影响贫煤点火的关键因素,为实现等离子燃烧器中贫煤稳定点火燃烧,等离子功率应不低于150 kW;一次风速会影响贫煤点火过程初期的燃烧温度,存在一个最佳范围,应保持一次风速在22~25 m/s;煤粉浓度大小是影响贫煤点火成功的重要因素,维持在较高的煤粉浓度才能保证贫煤稳定点火燃烧,煤粉浓度应不低于0.3 kg/kg。该研究为电厂优化现有等离子燃烧器运行策略、安全经济地燃用贫煤、降低燃料成本与碳排放提供了直接且重要的理论指导和实践依据,对推动燃煤电厂燃料灵活性与绿色低碳转型具有积极意义。

    边瑞恩, 刘亚东
    2026, 54(3):  10-20.  doi:10.12141/j.issn.1000-565X.250222
    摘要 ( 156 )   HTML ( 3)   PDF (2417KB) ( 33 )  
    数据和表 | 参考文献 | 相关文章 | 多维度评价

    传统的家庭能源管理系统主要关注用户家庭自身的能源管理,通常忽视了用户舒适度及其与配电网的双向互动潜力。为进一步提升家庭能源管理的智能化水平,该文提出了一种双层架构的家庭能源管理策略,其中上层考虑了配电网的系统运行约束和成本,下层尽可能考虑满足用户的用电偏好及用电成本要求,在基于配电网互动的前提下,实现家庭能源最优管理。针对常规配电网潮流计算和室内热响应算法在精确建模方面的不足和局限性,引入了长短期记忆递归神经网络(LSTM)和在线顺序超限学习机(OS-ELM)两种数据驱动方法达到更准确评估配电网状态和室内热动态的目标(LSTM用于潮流估计,OS-ELM用于热响应估计),并利用高效的自然聚合算法(NAA)来提升优化过程的求解速度和准确率。为评估所提算法的有效性和科学性,对上层所提出的LSTM模型、下层所提出的动态热估计算法和总体双层能源管理算法设计了详尽的对比实验进行分析。最终,基于IEEE 33节点系统的实验验证表明,该文提出的LSTM潮流估计和OS-ELM热响应估计方法的精度显著优于传统方法,所提策略在降低用户用电成本、保障配电网安全运行及提升用户舒适度方面均显著优于传统方法,验证了其有效性和优越性。该方法为解决高渗透率分布式能源社区中源荷协同优化问题提供了有效的技术支撑,具有较好的工程应用前景。

    黄向敏, 曾君, 王鹏旭, 王天伦, 刘俊峰
    2026, 54(3):  21-30.  doi:10.12141/j.issn.1000-565X.250310
    摘要 ( 153 )   HTML ( 1)   PDF (1538KB) ( 33 )  
    数据和表 | 参考文献 | 相关文章 | 多维度评价

    以新能源为主体的新型电力系统频率面临着转动惯量降低、故障冲击增强、调频资源不足的严峻考验,以分布式储能为典型的分布式资源成为系统调频的新型手段和有效补充。然而,用户的自主性需求与电网的确定性要求之间的矛盾限制了分布式储能在辅助调频场景中的应用。针对此问题,首先提出一种分布式储能灵活聚合的柔性调控模型,由聚合器根据功率需求与输出功率偏差生成实时激励来引导分布式储能输出。其次通过前景理论分析了分布式能源用户的决策行为心理,根据非完全理性决策下的用户激励响应特性曲线来构造更符合现实条件的分布式能源参与调频仿真环境。此外,提出了一种面向分布式储能用户广播动态激励信号的灵活控制策略,通过动态线性化把频率调节的非线性问题转换为动态线性化之后的系统参数估计问题,并采用无模型自适应激励控制方法来解决用户响应的不确定性和用户集群建模的困难,通过集群控制系统的实时数据对集群响应模型进行动态线性化并输出最佳的实时激励信号。最后在Matlab/Simulink中对单区域电力系统进行了案例研究,在阶跃负荷波动和连续负荷波动两种场景下,该研究提出的方法都具有良好的频率跟踪效果,最大频率偏差可以控制在0.001 5 p.u.以下,从而验证了该研究提出的激励控制方法的适应性和有效性。

    智慧交通系统
    熊璐, 冯浩杰, 张培志, 田梦杰, 张心睿
    2026, 54(3):  31-51.  doi:10.12141/j.issn.1000-565X.250188
    摘要 ( 1936 )   HTML ( 6)   PDF (17064KB) ( 65 )  
    数据和表 | 参考文献 | 相关文章 | 多维度评价

    交互场景因其高维复杂性和高风险性,成为自动驾驶汽车测试与运行中的关键安全挑战之一。近年来,以数据生成、对抗生成、知识生成及大语言模型为代表的学习型场景生成方法凭借较高的真实性与覆盖广度,在提升交互场景生成质量与测试验证效率方面展现出显著优势。为系统梳理该领域的研究进展、核心技术与瓶颈问题,该文对自动驾驶交互场景的学习型生成方法进行全面综述,可为后续研究提供清晰的技术脉络与发展方向。首先,概述交互场景的基本特征,并对主流公开数据集进行对比分析,探讨其对学习型生成方法的支撑作用;同时,总结交互相关的标准规范、场景描述与衡量指标,分析其对交互行为表达能力的影响;其次,从传统学习方法与大语言模型方法两个方向出发,归纳各类方法的技术路线与生成效果;最后,结合现有成果,总结当前学习型生成方法在数据和方法等方面面临的挑战,展望未来的研究方向。研究发现,传统学习方法在真实性与多样性的平衡、安全关键场景的高效发现与生成方面存在固有挑战;大语言模型方法虽在场景语义理解和复杂逻辑构建上展现出卓越潜力,但普遍面临推理速度慢、信息虚构、生成内容与物理世界对齐困难以及决策过程“黑盒”特性导致的可解释性不足等瓶颈。此外,当前研究仍共同受制于现有数据集缺乏交互关键信息、场景严重性缺少统一衡量标准等基础性问题。该文认为,尽管已有方法在交互建模上取得了初步成果,但仍需进一步提升生成质量与泛化能力,以满足自动驾驶汽车实际需求。

    李安然, 潘芋燕, 徐震林, 高博麟, 李永行, 于洪晟, 陈艳艳
    2026, 54(3):  52-64.  doi:10.12141/j.issn.1000-565X.250056
    摘要 ( 193 )   HTML ( 2)   PDF (2274KB) ( 44 )  
    数据和表 | 参考文献 | 相关文章 | 多维度评价

    智能网联车辆在复杂交通场景中的高效、安全运动规划是自动驾驶领域的关键挑战。该研究基于Transformer提出了ST-Trans交通预测模型,并通过ST-Trans开发了用于智能网联车辆的预测性运动规划器。ST-Trans利用Transformer从动态高精度地图提供的实时车辆数据和车道段结构信息中挖掘交通时空演化规律来预测车道段的未来交通状态,并利用车道段连通性和交叉口信号相位信息进一步提升预测准确性。模型采用编码器-解码器架构,通过车道编码器融合车辆与车道特征,道路编码器建模动态拓扑关系,解码器迭代生成未来交通状态序列。预测结果显示ST-Trans在平均绝对误差、均方根误差和准确率上分别比最优基准线模型高出12.2%、12.1%和3.55个百分点。基于ST-Trans的预测结果,预测性运动规划器采用双层结构,底层路径规划器动态选择目标点并融合动态规划与二次规划生成平滑路径,上层速度规划器构建时空走廊以压缩解空间,并同样结合动态规划与二次规划生成安全高效的速度曲线,从而显著降低运动规划任务的求解复杂度。该研究结合SUMO和CARLA对预测运动规划器进行了仿真实验,结果表明,基于ST-Trans的预测运动规划器能够实现预测性路径和速度规划,并在安全性、效率、舒适性和计算速度方面优于传统运动规划器。实验验证了所提方法能有效缩短高风险状态持续时间,提高通行效率,并保持较低的计算延迟。

    邢岩, 郭思豪, 张振, 潘晓东, 安冬
    2026, 54(3):  65-78.  doi:10.12141/j.issn.1000-565X.250092
    摘要 ( 417 )   HTML ( 2)   PDF (3746KB) ( 49 )  
    数据和表 | 参考文献 | 相关文章 | 多维度评价

    针对小目标交通标志的错检和漏检导致识别网络精度下降的问题,提出了一种基于CGT-YOLO的小目标交通标志识别算法。首先,采用上下文增强模块(CAM)替代YOLOv5s网络中的快速空间金字塔池化(SPPF)模块,通过设置不同膨胀率的并行膨胀卷积,在不降低分辨率的条件下增强小目标交通标志的多尺度特征表达与上下文信息。其次,在YOLOv5s主干网络的拼接操作后插入全局注意力机制(GAM),提取CAM增强后的特征并通过三维置换、多层感知器及卷积空间注意力,增强通道与空间之间的全局交互,从而突出小目标交通标志的特征,解决复杂背景和远距离带来的负面影响。最后,通过上下文特定任务(TSC)解耦头对分类和定位任务的特征进行解耦,通过语义上下文编码(SCE)和细节保留编码(DPE)模块,分别生成语义丰富的低分辨率分类特征图和包含边界信息的高分辨率定位特征图,从特征源头解耦分类与定位任务,解决小目标交通标志分类与定位任务之间的特征冲突。实验结果表明,在整合TT100K和CCTSDB构建的数据集上,改进后的模型在各项指标上均有提升:漏报率和误报率分别降低12.1和11.6个百分点;mAP(0.50∶0.95)提高0.026 0。与YOLOv8s、NanoDet-Plus、RT-DETR-Nano等模型对比,CGT-YOLO在多项指标上均具有优势,且在保持较高推理速度(72.5 桢/s)的同时,可减少错检与漏检,显著提升了小目标交通标志在复杂场景下的检测精度与鲁棒性。

    胡郁葱, 黄伟彬, 陈俊华, 巫威眺
    2026, 54(3):  79-90.  doi:10.12141/j.issn.1000-565X.250098
    摘要 ( 224 )   HTML ( 3)   PDF (1378KB) ( 36 )  
    数据和表 | 参考文献 | 相关文章 | 多维度评价

    纯电动公交因其环保特性已成为城市交通的重要载体,但其规模化应用受到续航里程的制约,因此对于充电站建设和行车计划编制有较高的要求。现有研究多将充电站选址与行车计划编制作为独立问题,忽视了二者之间的相互影响;且多考虑单车场或小规模场景,难以适应大规模复杂网络下的跨区域协同调度需求。为解决上述问题,该研究构建多车场的电动公交时空网络,以电动公交系统总成本最小化为目标,考虑充电站建设、车次衔接、电量维持、车辆调度、充电桩匹配等约束条件,建立了充电站选址与行车计划联合优化模型。为精确刻画运营成本,模型引入了分时电价与充电站并行充电能力。为高效求解此高维离散组合优化问题,设计了改进的文化基因算法(EB-MA)。该算法通过改进遗传算子、引入车次链移动与合并等局部搜索策略、结合分层约束修复机制,确保了解的可行性。以佛山市禅城区部分公交网络为例,验证了模型和算法在解决不同规模问题时的有效性。结果表明,相较于传统的遗传算法和模拟退火算法,在小规模算例和大规模算例上,该文提出的算法均能在降低总成本方面取得更好的效果;敏感性分析进一步揭示,电池容量增大与单位能耗降低能显著降低系统总成本,而电价政策,特别是平峰电价水平,对运营成本有决定性影响;充电站建设方案通过影响行车计划的成本间接影响系统总成本,将充电站选址和行车计划编制进行联合优化具有必要性。上述研究成果丰富了电动公交充电站选址和行车计划研究的理论体系,可以同时为公交系统规划和运营决策提供有益的参考。

    胡宝雨, 张禹衡
    2026, 54(3):  91-103.  doi:10.12141/j.issn.1000-565X.250244
    摘要 ( 268 )   HTML ( 2)   PDF (2482KB) ( 32 )  
    数据和表 | 参考文献 | 相关文章 | 多维度评价

    针对寒区电动公交在极端温差下出现的电池额外寿命衰减和续航里程变化大等问题,提出“电池-车辆匹配”集成调度策略。该策略根据季节温度与线路负载需求,为车队装配不同容量的电池来进行车辆调度,帮助公交运营商制定更优的运营方案。模型方面,以运营商成本最小化为目标建立混合整数规划模型,综合计算车辆电池购置费用、日均维护成本和考虑分时电价与需求费率的充电费用,量化了电池的循环退化和日历退化损耗,整合出一个综合的电池寿命退化函数放入成本计算中。算法方面,针对该NP-hard模型的求解,设计了一种混合遗传算法(HGA),其结合了后处理精炼策略,提升算法的求解效率。围绕哈尔滨实际公交路线进行研究,结果表明,优化后的年均摊总成本降低17.8%,所需车队规模减少16.4%,维护成本节约16.8%。比较明显的是,双电池配置使电池拥有成本的年均退化值降低39.7%,有效延长了电池资产的实际使用寿命。最终的敏感性分析显示,在春秋季等温度适宜季节适当放宽电池荷电状态上限,可以减少循环次数,从而更好地延缓电池老化。最后补充说明了模型在更大规模场景下的适用性。该研究为寒冷地区电动公交的可持续运营提供了理论模型与优化工具,对运营商制定季节性运营策略具有重要作用。

    张丽娜, 许宏科, 代亮, 王大伟
    2026, 54(3):  104-113.  doi:10.12141/j.issn.1000-565X.250101
    摘要 ( 138 )   HTML ( 1)   PDF (1783KB) ( 35 )  
    数据和表 | 参考文献 | 相关文章 | 多维度评价

    针对高速公路配电网承载力不足以及可再生能源出力与服务区用能负荷不匹配的问题,利用移动储能车辆(MESV)进行服务区之间的能量互济,能够促进可再生能源消纳。为提高移动储能的实时响应能力,提出一种在电动汽车(EV)换电服务平均损失率约束下,计及交通状态的MESV调度优化策略。首先,结合高速公路交通自由流特性,将车辆行驶速度设置为服从截断正态分布的随机变量,并离散为多个速度区间以表征不同交通状态及其发生概率;同时,考虑EV换电需求的随机性,采用多状态伯努利分布描述单位时隙内的换电需求,建立移动储能运输时间成本模型与换电站(BSS)能量状态更新模型。其次,根据服务区之间交通状态和换电站能量状态构建马尔可夫链,描述系统状态的一步转移概率。在此基础上,构建以最小化移动储能长期平均运输时间成本为目标、换电服务平均损失率为约束的受限马尔可夫决策优化模型,并求解获得最优调度参数与稳态概率分布。基于蔚来第4代EV换电站实际运行参数开展仿真验证,结果表明:所提策略具有交通状态和能量状态的双门限结构,可根据服务区之间交通状态与BSS能量储备水平自适应调整MESV发车频次;与贪婪策略和Q-learning方法相比,移动储能平均运输时间成本分别降低17.23%和8.89%,能够在满足服务质量约束的前提下,实现运输成本与换电服务性能的最优权衡。

    张锐, 葛郁晗
    2026, 54(3):  114-126.  doi:10.12141/j.issn.1000-565X.250067
    摘要 ( 331 )   HTML ( 5)   PDF (1046KB) ( 25 )  
    数据和表 | 参考文献 | 相关文章 | 多维度评价

    研究在校大学生的校外出行方式选择行为,对于改善高校学生的校外出行环境、提高社会参与度、促进其身心健康发展具有重要意义。已有研究忽视了同伴群体对个体出行方式选择的影响。该文针对缺乏统一标准确定大学生有效群组的不足,通过室友关系质量量表界定有效群组,基于问卷调查获得不同出行场景下在校大学生的校外出行偏好数据;为补充同群效应在出行行为决策中的作用机制研究,从关系质量与心理特性出发,引入关系强度调节的同伴矩阵并构建多个同群效应的网络经济学线性模型,结合固定效应和两阶段最小二乘法解决潜在的内生性问题,通过模型评估确定识别和测度同群效应的最佳模型;基于模型标定结果分析宿舍群体对在校大学生个体校外出行方式选择的影响和潜在作用机制。结果表明:相较于广义计量模型和局部聚集模型,考虑关系强度的局部平均模型在识别和测度同群效应时具有更好的稳健性;随着出行距离的增加以及出行时间约束的放松,在校大学生个体出行方式选择行为受同伴相关行为的影响程度(即内生同群效应)降低;同伴的月生活费、家庭成员人数、有无驾照、开放性及环保意识等因素对在校大学生个体出行方式选择具有显著的外生同群效应;外向型个体相较于内向型个体具有更为显著的从众性同群效应,休闲娱乐场景下开放型个体比保守型个体的从众性同群效应更显著。该研究拓展了相关理论边界,可为高校低碳出行的精细化引导与分群体干预提供实证依据。

    李昊, 陈绍宽, 石梦彤, 陈梓琦
    2026, 54(3):  127-134.  doi:10.12141/j.issn.1000-565X.250142
    摘要 ( 177 )   HTML ( 4)   PDF (721KB) ( 23 )  
    数据和表 | 参考文献 | 相关文章 | 多维度评价

    针对地铁列车跨线运行模式乘务排班和轮班计划协同优化的问题,研究循环轮班模式一体化优化对乘务计划编制效率和乘务员运用效率的影响。基于循环轮班班制构造时空网络搜索乘务员在轮班周期内的乘务区段和班次接续顺序,以乘务员值乘班次数量和值乘空闲时间最小化为优化目标构建模型;构造乘务员班次接续约束和班次可行性约束限制乘务员的值乘路径,保证在满足乘务区段接续规则的前提下确定轮班周期内乘务员的值乘任务;基于班次出退勤轮乘站、班次类型、轮班周期、轮班班制设计轮班路径搜索算法和改进列生成算法获取轮班周期内的值乘安排,提出混合班制的乘务轮班模式探讨四班三运转和六班五运转班制混合对乘务计划的影响。结果表明:相较传统四班三运转和六班五运转轮班模式,混合班制可使一体化轮班模式班次的平均工作效率分别提高1.5和2.3个百分点,使便乘区段数分别降低12.18%和24.45%;相较分阶段优化,在不影响乘务员值乘班次数的基础上,一体化优化提高了班次平均工作效率和乘务员运用率,降低了轮班周期内的总班次数和乘务区段冗余覆盖程度。混合班制模式下的一体化优化方法可适应灵活的轮班周期和各线路乘务区段时空分布的差异性,有利于保障乘务员的值乘均衡性和运用效率。

    材料科学与技术
    崔洁, 桂艳, 张成毅, 杨贤锋
    2026, 54(3):  135-147.  doi:10.12141/j.issn.1000-565X.250168
    摘要 ( 521 )   HTML ( 4)   PDF (5575KB) ( 36 )  
    数据和表 | 参考文献 | 相关文章 | 多维度评价

    作为一种先进的无损三维成像检测技术,X射线计算机断层扫描(CT)可实现样品内部结构的可视化表征。该技术基于X射线与物质的相互作用机制,采集X射线穿透样品后的信号成像,再以计算机算法处理获取的断层图像,最终实现对样品的三维重构。凭借高密度分辨率、便捷的数字化处理等优势,该技术已在医学诊断、工业检测等领域取得重大突破。该文重点围绕X射线CT技术在以结构材料和新能源材料为代表的先进材料领域中的应用展开研究,系统梳理其基于X射线衰减、信号转换与三维重构的核心原理;聚焦材料科学应用,通过航空航天构件焊缝缺陷检测、电子封装焊点隐形缺陷识别、增材制造材料孔隙量化等实例,阐明CT技术在缺陷定位、损伤追踪、微观结构量化中的作用;借助该技术在锂电池电极演化、燃料电池水管理、金属负极枝晶追踪等研究中的应用,凸显其在揭示材料结构与电化学性能的关联、器件设计优化、安全性提升等方面的作用;同时,总结其“无损 + 三维定量 + 动态追踪”等优势,剖析纳米级成像效率低、数据融合难等瓶颈,并从新型探测器研发、人工智能(AI)辅助重建、多技术联用等维度,展望未来突破路径,为其在结构材料性能提升、新能源材料研发中的深度应用提供方向。这些探讨可为科研人员提供技术创新方向,有助于提升我国高端检测设备的自主研发能力。

    陈宇, 罗楚钰, 张亚梅
    2026, 54(3):  148-159.  doi:10.12141/j.issn.1000-565X.250372
    摘要 ( 173 )   HTML ( 5)   PDF (2321KB) ( 29 )  
    数据和表 | 参考文献 | 相关文章 | 多维度评价

    随着环境噪声污染问题日益加剧,混凝土声屏障因其优良的耐久性和经济性,被广泛应用于噪声控制领域。然而,传统混凝土声屏障在吸声与隔声性能方面仍存在不足,难以同时满足轻质化、功能化与绿色化的发展需求。已有研究通过在水泥基体系中引入发泡剂、多孔轻质骨料等组分,调控材料密度、孔隙率及孔隙连通性,以优化孔隙结构与声波能量耗散机制,从材料层面提升混凝土的降噪性能。在此基础上,3D打印技术为降噪构件的复杂几何设计、轻量化制造及结构个性化提供了新的实现途径。打印过程中形成的定向连通孔隙网络及独特的层间界面特征,可有效延长声波传播路径并增强能量耗散,从而在结构层面实现声学性能优化。该文系统概述了影响混凝土降噪性能的关键因素及其调控策略,重点分析了3D打印工艺对孔隙分布、层间界面及表面纹理的调控机制,并总结了相关工程应用实例。现有研究表明,合理设计的3D打印混凝土结构在中低频吸声方面具有显著优势,且通过构件几何形态与表面纹理的协同调控,可进一步实现声学性能的定向优化。此外,3D打印降噪混凝土在道路声屏障及建筑声学领域展现出良好的应用前景,但仍面临材料打印适应性、层间界面强度及长期服役性能等技术挑战。未来研究可围绕绿色低碳原料利用、多尺度结构设计及耐久性评价等方向展开,以推动3D打印降噪混凝土的高性能化与工程化应用。

    齐云鹏, 王秋生, 李芷逸, 熊逸峻
    2026, 54(3):  160-171.  doi:10.12141/j.issn.1000-565X.250120
    摘要 ( 175 )   HTML ( 3)   PDF (4646KB) ( 25 )  
    数据和表 | 参考文献 | 相关文章 | 多维度评价

    为实现固体废弃物资源化利用,提升青藏严寒地区再生混凝土砌块性能。在100%再生粗骨料基础上,研究了再生细骨料和活性掺合料对大掺量固废再生混凝土承重砌块抗渗性、耐水性及抗冻性的影响,采用扫描电镜(SEM)、核磁共振(NMR)技术分析了再生混凝土的微观结构,基于生命周期方法(LCA)定量评估了材料性能、成本和碳排放。结果表明:再生混凝土承重砌块渗透性和吸水率随再生细骨料的增加逐渐增大,随粉煤灰与矿渣复掺比的降低先减小后增大,抗冻性和软化系数变化规律则相反。当再生粗骨料取代率为100%、粉煤灰与矿渣复掺比为3∶1时,砌块抗压强度为11.77 MPa,抗折强度为3.89 MPa,软化系数为0.99,吸水率为0.7%,冻融50次后质量损失率为2.2%,抗压强度与抗折强度损失率分别为10.2%和13.9%,满足严寒地区承重及耐久性要求,可作为推荐配合比。微观分析表明,碱激发促进了复合胶凝材料二次水化,生成了更多的水化产物填充内部孔隙,使再生混凝土的细观结构更加密实。随着冻融次数的增加,砌块内部孔隙数量逐渐增多,微孔和中孔逐渐衍生为大孔和裂隙,导致砌块性能劣化。基于性能-成本-碳排放分析,单掺100%再生粗骨料不利于低碳减排,混掺再生骨料和活性掺合料的推荐配合比综合效益最优,碳减排率为31.03%。

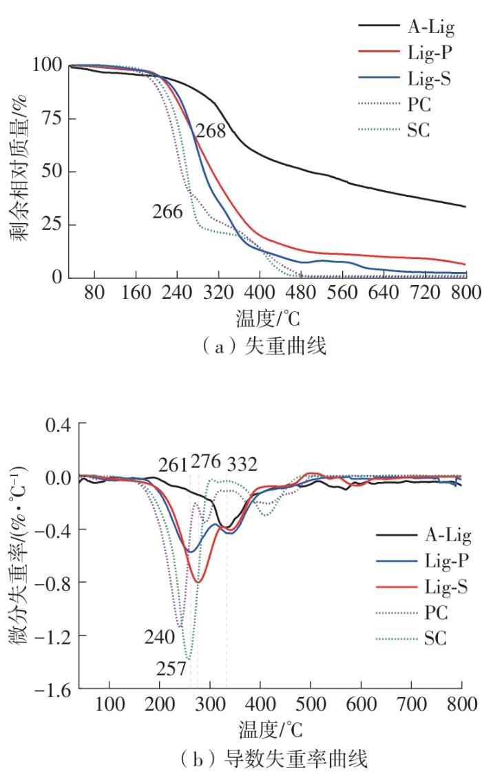
    刘超, 张昊宇, 王蒙, 贺雨谦, 何聪颖, 侯轶, 肖惠宁
    2026, 54(3):  172-184.  doi:10.12141/j.issn.1000-565X.250257
    摘要 ( 123 )   HTML ( 3)   PDF (5189KB) ( 25 )  
    数据和表 | 参考文献 | 相关文章 | 多维度评价

    纸张纤维表面存在的大量亲水性羟基,影响了其在阻隔包装领域的应用。当前用于提高纸张阻隔性能的石油基材料多难以降解,而碱木质素凭借天然可降解与疏水、阻燃等特性,在阻隔包装材料的制备方面具有独特优势。为深入探究碱木质素对包装纸疏水性能的影响,该文以碱木质素(A-Lig)为原料,使用棕榈酰氯和硬脂酰氯对A-Lig进行酯化改性,合成了木质素棕榈酸酯(Lig-P)和木质素硬脂酸酯(Lig-S)。然后基于A-Lig、Lig-P和Lig-S 3种木质素配置涂布液,在原纸上使用十字交叉法喷涂,制得系列木质素基涂布纸。采用红外光谱(FTIR)、X射线光电子能谱(XPS)、核磁共振(NMR)、扫描电镜(SEM)、热重(TGA)等分析对A-Lig、Lig-P、Lig-S的化学结构、微观形貌及热性能进行了表征。通过静态水接触角、滚动角、吸水率、纸张表面水稳定性、自清洁性、力学性能等测试对原纸及涂布纸的微观结构、疏水性能和机械强度进行了表征。结果表明:酯化改性后的木质素上羟基被有效取代,脂肪族链被成功接枝,C—O键相对含量减少,热稳定性减弱。原纸(Bas-P)、A-Lig涂布纸(Lig-P1)、Lig-P涂布纸(Lig-P2)、Lig-S涂布纸(Lig-P3)的静态水接触角分别为45.9°、83.5°、150.8°和151.6°;同时,Lig-P2和Lig-P3的滚动角分别为9.3°和3.5°,达到了超疏水效果,且二者的微观表面形成了类花瓣状微纳粗糙结构,其吸水率显著降低,表现出优异的水稳定性和自清洁性能。Lig-P2和Lig-P3相较于Bas-P的拉伸强度略有降低,但断裂伸长率明显提高,纸张柔韧性增强。

通知公告
精彩推荐
阅读排行
下载排行
引用排行