华南理工大学学报(自然科学版) ›› 2026, Vol. 54 ›› Issue (3): 172-184.doi: 10.12141/j.issn.1000-565X.250257

• 材料科学与技术 • 上一篇    

酯化改性木质素对包装纸超疏水性能的影响

刘超1,2, 张昊宇1, 王蒙1, 贺雨谦1, 何聪颖1, 侯轶2, 肖惠宁3   

  1. 1.南京林业大学 轻工与食品学院/林产化学与材料国际创新高地,江苏 南京 210037
    2.华南理工大学 先进造纸与纸基材料全国重点实验室,广东 广州 510640
    3.Department of Chemical Engineering,University of New Brunswick,Fredericton,NB,E3B 5A3,Canada
  • 收稿日期:2025-07-31 出版日期:2026-03-25 发布日期:2025-11-07
  • 作者简介:刘超(1993—),男,博士,讲师,主要从事面向可持续应用的生物质基衍生多功能材料研究。E-mail: chaoliulc@njfu.edu.cn
  • 基金资助:
    国家自然科学基金项目(22208161)

Effect of Esterification-Modified Lignin on Superhydrophobic Performance of Packaging Paper

LIU Chao1,2, ZHANG Haoyu1, WANG Meng1, HE Yuqian1, HE Congying1, HOU Yi2, XIAO Huining3   

  1. 1.College of Light Industry and Food Engineering/International Innovation Highland of Forest Products Chemistry and Materials,Nanjing Forestry University,Nanjing 210037,Jiangsu,China
    2.State Key Laboratory of Advanced Papermaking and Paper-Based Materials,South China University of Technology,Guangzhou 510640,Guangdong,China
    3.Department of Chemical Engineering,University of New Brunswick,Fredericton,NB,E3B 5A3,Canada
  • Received:2025-07-31 Online:2026-03-25 Published:2025-11-07
  • About author:刘超(1993—),男,博士,讲师,主要从事面向可持续应用的生物质基衍生多功能材料研究。E-mail: chaoliulc@njfu.edu.cn
  • Supported by:
    the National Natural Science Foundation of China(22208161)

摘要:

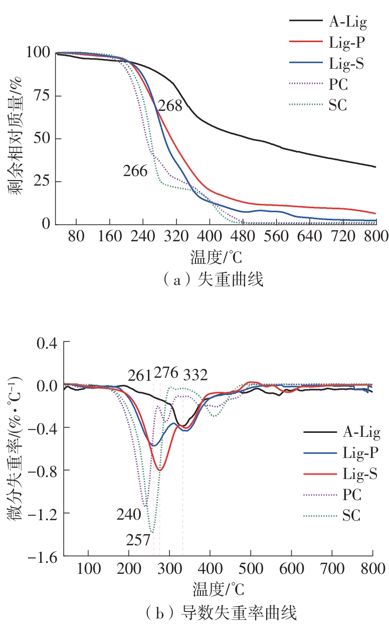
纸张纤维表面存在的大量亲水性羟基,影响了其在阻隔包装领域的应用。当前用于提高纸张阻隔性能的石油基材料多难以降解,而碱木质素凭借天然可降解与疏水、阻燃等特性,在阻隔包装材料的制备方面具有独特优势。为深入探究碱木质素对包装纸疏水性能的影响,该文以碱木质素(A-Lig)为原料,使用棕榈酰氯和硬脂酰氯对A-Lig进行酯化改性,合成了木质素棕榈酸酯(Lig-P)和木质素硬脂酸酯(Lig-S)。然后基于A-Lig、Lig-P和Lig-S 3种木质素配置涂布液,在原纸上使用十字交叉法喷涂,制得系列木质素基涂布纸。采用红外光谱(FTIR)、X射线光电子能谱(XPS)、核磁共振(NMR)、扫描电镜(SEM)、热重(TGA)等分析对A-Lig、Lig-P、Lig-S的化学结构、微观形貌及热性能进行了表征。通过静态水接触角、滚动角、吸水率、纸张表面水稳定性、自清洁性、力学性能等测试对原纸及涂布纸的微观结构、疏水性能和机械强度进行了表征。结果表明:酯化改性后的木质素上羟基被有效取代,脂肪族链被成功接枝,C—O键相对含量减少,热稳定性减弱。原纸(Bas-P)、A-Lig涂布纸(Lig-P1)、Lig-P涂布纸(Lig-P2)、Lig-S涂布纸(Lig-P3)的静态水接触角分别为45.9°、83.5°、150.8°和151.6°;同时,Lig-P2和Lig-P3的滚动角分别为9.3°和3.5°,达到了超疏水效果,且二者的微观表面形成了类花瓣状微纳粗糙结构,其吸水率显著降低,表现出优异的水稳定性和自清洁性能。Lig-P2和Lig-P3相较于Bas-P的拉伸强度略有降低,但断裂伸长率明显提高,纸张柔韧性增强。

关键词: 木质素, 酯化改性, 超疏水性能, 包装纸

Abstract:

The presence of abundant hydrophilic hydroxyl groups on the surface of paper fibers limits their application in barrier packaging. Currently, petroleum-based materials commonly used to enhance the barrier performance of paper are often non-biodegradable. In contrast, alkali lignin offers unique advantages for the preparation of barrier packaging materials due to its inherent biodegradability, hydrophobicity, and flame-retardant properties. To investigate the influence of alkali lignin on the hydrophobic performance of packaging paper, this study used alkali lignin (A-Lig) as a raw material and modified it via esterification with palmitoyl chloride and stearoyl chloride, synthesizing lignin palmitate (Lig-P) and lignin stearate (Lig-S). Subsequently, coating solutions were formulated based on A-Lig, Lig-P, and Lig-S, and applied to base paper using a cross-spraying method to fabricate a series of lignin-coated papers. The chemical structures, micro-morphologies, and thermal properties of A-Lig, Lig-P, and Lig-S were systematically characterized using Fourier transform infrared spectroscopy (FTIR), X-ray photoelectron spectroscopy (XPS), nuclear magnetic resonance (NMR), scanning electron microscopy (SEM), and thermogravimetric analysis (TGA). The microstructure, hydrophobic properties, and mechanical strength of the base paper and coated papers were evaluated through measurement of static water contact angle, rolling angle, water absorption, water stability on the paper surface, self-cleaning performance, and mechanical properties. The results show that the hydroxyl groups in lignin are effectively substituted after esterification modification, with successful grafting of aliphatic chains. The relative content of C—O bonds decreases, and the thermal stability is slightly reduced. The static water contact angles of the base paper (Bas-P), A-Lig-coated paper (Lig-P1), Lig-P-coated paper (Lig-P2), and Lig-S-coated paper (Lig-P3) are 45.9°, 83.5°, 150.8°, and 151.6°, respectively. Meanwhile, the rolling angles of Lig-P2 and Lig-P3 are 9.3° and 3.5°, achieving a superhydrophobic effect. The micro-surfaces of both Lig-P2 and Lig-P3 exhibit a petal-like micro-nano rough structure, significantly reduced water absorption, and demonstrate excellent water stability and self-cleaning performance. Compared to Bas-P, Lig-P2 and Lig-P3 exhibit a slight decrease in tensile strength but a pronounced increase in elongation at break, indicating improved flexibility of the paper.

Key words: lignin, esterification modification, superhydrophobic performance, packaging paper

中图分类号: